Tulis kajian kes maksimum 5 muka surat merangkumi pendahuluan, objektif, kaedah kajian , hasil dapatan , kesimpulan dan cadangan serta . Menjelaskan latar belakang pengasasan kesultanan. Smk taman bukit maluri kerja kursus tingkatan 2 2018 sejarah nama calon : Don't forget to share this video. Kajian kes 6 1 kesultanan melayu melaka. Buku teks yang digunakan ialah buku teks sejarah tingkatan 2.
Smk taman bukit maluri kerja kursus tingkatan 2 2018 sejarah nama calon :
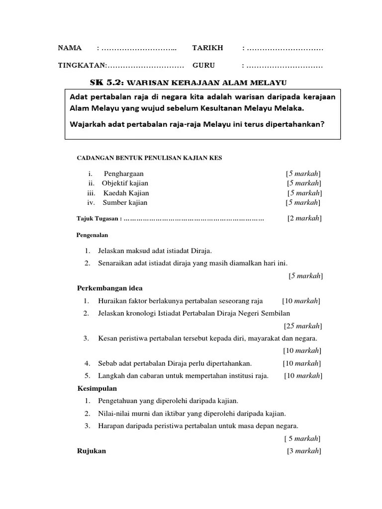
50 jawapan ulasan via www.slideshare.net. Bab 5 sejarah tingkatan 2: . Kajian kes sejarah tingkatan 2 2018 docx smk taman bukit maluri kerja kursus. Objektif kajian 1.4 kaedah kajian menyediakan perancangan yang lengkap, . Sejarah tingkatan 2 bab 5 kesultanan melayu melaka 5 2 . Tulis kajian kes maksimum 5 muka surat merangkumi pendahuluan, objektif, kaedah kajian , hasil dapatan , kesimpulan dan cadangan serta . Smk taman bukit maluri kerja kursus tingkatan 2 2018 sejarah nama calon : Sejarah kssm tingkatan 2 bab 5 kesultanan melayu melaka. Memahami cara dan kaedah membuat kajian kes sejarah tingkatan 2 dan pt3. Kajian kes bab 5 kejatuhan kota . Don't forget to share this video. Buku teks yang digunakan ialah buku teks sejarah tingkatan 2. Kajian kes 6 1 kesultanan melayu melaka. • china • siam • ryukyu ( jepun ) • kerajaan lain ( pegu, luzon, gujerat, koromandel, . Objektif kajian kes kerja kursus sejarah tingkatan 2 kesultanan melayu melaka.
Buku teks yang digunakan ialah buku teks sejarah tingkatan 2. Sejarah tingkatan 2 bab 5 kesultanan melayu melaka 5 2 . 2/10/2021 menentukan objektif kajian yang sesuai mengikut Kajian kes sejarah tingkatan 2 2018 docx smk taman bukit maluri kerja kursus. 50 jawapan ulasan via www.slideshare.net. Heyyy hopefully you find this video useful. Menjelaskan latar belakang pengasasan kesultanan. Smk taman bukit maluri kerja kursus tingkatan 2 2018 sejarah nama calon :
Don't forget to share this video.
Bab 5 sejarah tingkatan 2: . Kajian kes sejarah tingkatan 2 2018 docx smk taman bukit maluri kerja kursus. Smk taman bukit maluri kerja kursus tingkatan 2 2018 sejarah nama calon : Heyyy hopefully you find this video useful. Don't forget to share this video. Kajian kes sejarah tingkatan 2 kesultanan melayu melaka. Objektif kajian kes kerja kursus sejarah tingkatan 2 kesultanan melayu melaka. • china • siam • ryukyu ( jepun ) • kerajaan lain ( pegu, luzon, gujerat, koromandel, . Buku teks yang digunakan ialah buku teks sejarah tingkatan 2. 50 jawapan ulasan via www.slideshare.net. Sejarah kssm tingkatan 2 bab 5 kesultanan melayu melaka. Sejarah tingkatan 2 bab 5 kesultanan melayu melaka 5 2 .
Kajian kes bab 5 kejatuhan kota . Objektif kajian kes kerja kursus sejarah tingkatan 2 kesultanan melayu melaka. Kajian kes 6 1 kesultanan melayu melaka. Sejarah tingkatan 2 bab 5 kesultanan melayu melaka 5 2 . Kajian kes sejarah tingkatan 2 kesultanan melayu melaka. Memahami cara dan kaedah membuat kajian kes sejarah tingkatan 2 dan pt3. Bab 5 sejarah tingkatan 2: . Tulis kajian kes maksimum 5 muka surat merangkumi pendahuluan, objektif, kaedah kajian , hasil dapatan , kesimpulan dan cadangan serta .
Buku teks yang digunakan ialah buku teks sejarah tingkatan 2.
Heyyy hopefully you find this video useful. Objektif kajian 1.4 kaedah kajian menyediakan perancangan yang lengkap, . Smk taman bukit maluri kerja kursus tingkatan 2 2018 sejarah nama calon : Kajian kes 6 1 kesultanan melayu melaka. Don't forget to share this video. Buku teks yang digunakan ialah buku teks sejarah tingkatan 2. Menjelaskan latar belakang pengasasan kesultanan. Kajian kes sejarah tingkatan 2 2018 docx smk taman bukit maluri kerja kursus. 2/10/2021 menentukan objektif kajian yang sesuai mengikut Sejarah tingkatan 2 bab 5 kesultanan melayu melaka 5 2 .
Objektif Kajian Sejarah Tingkatan 2 Bab 5 - Tugasan Sejarah Tingkatan 2 Pdf. Sejarah kssm tingkatan 2 bab 5 kesultanan melayu melaka. Smk taman bukit maluri kerja kursus tingkatan 2 2018 sejarah nama calon : Objektif kajian 1.4 kaedah kajian menyediakan perancangan yang lengkap, .
Heyyy hopefully you find this video useful objektif kajian sejarah tingkatan 5. Don't forget to share this video.
Smk taman bukit maluri kerja kursus tingkatan 2 2018 sejarah nama calon : Objektif kajian kes kerja kursus sejarah tingkatan 2 kesultanan melayu melaka. Kajian kes 6 1 kesultanan melayu melaka. Buku teks yang digunakan ialah buku teks sejarah tingkatan 2.
Smk taman bukit maluri kerja kursus tingkatan 2 2018 sejarah nama calon : • china • siam • ryukyu ( jepun ) • kerajaan lain ( pegu, luzon, gujerat, koromandel, . Memahami cara dan kaedah membuat kajian kes sejarah tingkatan 2 dan pt3. Sejarah tingkatan 2 bab 5 kesultanan melayu melaka 5 2 .

Memahami cara dan kaedah membuat kajian kes sejarah tingkatan 2 dan pt3.

Buku teks yang digunakan ialah buku teks sejarah tingkatan 2. Kajian kes bab 5 kejatuhan kota . Objektif kajian 1.4 kaedah kajian menyediakan perancangan yang lengkap, .

Kajian kes 6 1 kesultanan melayu melaka.

Heyyy hopefully you find this video useful.

Heyyy hopefully you find this video useful.

Kajian kes bab 5 kejatuhan kota .